Somaliland International Democratization Support Strategy - page 90

87
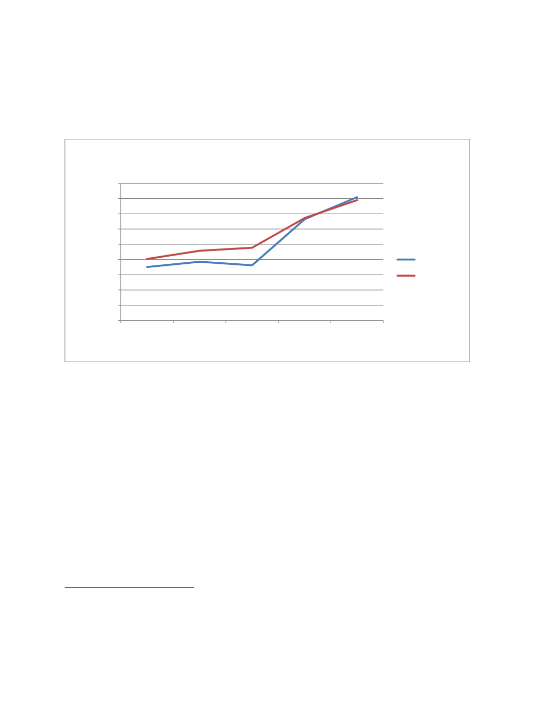
Salaries, allowances for staff and security absorb the majority of local government resources,
often over sixty percent. Levies and fees collected rarely exceed $2.00 per inhabitant per year
in rural areas, and $4.50 per inhabitant per year in urban areas, well below the norm for least
developed countries of between $20 and $50 per capita. Government data shows that between
2005-2009, local government revenue and expenditures steadily increased:
132
133
Alliances and Strategies
The key Somaliland government strategy is the Somaliland
National Development Plan
2012-
2017, for which the Ministry of Interior is officially responsible. There are two relevant pillars
within the strategy, the governance and social pillars, which map out the government of
Somaliland’s priorities in these two areas. The most important donor strategies are the UN’s
cross-Somalia plans for the 2013-2017 Joint Program on Local Governance and Decentralized
Service Delivery Phase II and the United Nations Somali Assistance Strategy 2011-2015.
National Development Plan
Under the governance pillar, the main priority area relating to democratic governance is support
to decentralization, which accounts for more than $75 million (over two-thirds) of the estimated
budget required in this area. Priorities identified include:
134
Local Governance
: Decentralization is the principal priority, including the promotion
of public dialogue over the decentralization process, stepping up fiscal and functional
decentralization and improving public expenditure management at the local level.
132
Republic of Somaliland. Ministry of National Planning and Development.
Somaliland in Figures
. Hargeisa.
2010. Web. <
>.
134
This excludes justice and human rights, which are not being considered as part of this report.
0
5000
10000
15000
20000
25000
30000
35000
40000
45000
2005
2006
2007
2008
2009
Somaliland Shillings (per 1 million)
Year
Total Local Government Revenue and Expenditure for Major
Municipalities of Somaliland
Revenue
Expenditure
1...,79,80,81,82,83,84-85,86,87,88,89 91,92,93,94,95,96,97,98,99,100,...159
Powered by FlippingBook